En el panorama corporativo actual la brecha entre la visión operativa y la aprobación financiera es el principal obstáculo para la modernización de la cadena de suministro. Mientras que los gerentes de logística ven en la tecnología la solución a sus cuellos de botella, las direcciones de finanzas (CFOs) ven riesgos, depreciación y periodos de retorno inciertos. Por esta razón, la herramienta más poderosa de un líder logístico no es un software de gestión, sino un Business Case para la Automatización de Almacenes. Lograr que un proyecto de inversión de capital (CAPEX) sea aprobado requiere hablar el idioma del valor, la mitigación de riesgos y la rentabilidad estratégica.
Este documento es fundamental porque en el entorno actual de altas tasas de interés y volatilidad de mercados, ninguna inversión se aprueba solo por ser «tecnológicamente avanzada». Muchos proyectos brillantes mueren en el escritorio del tesorero a causa de una incapacidad para traducir los beneficios operativos en flujos de efectivo tangibles. Sin embargo, cuando se estructura un caso de negocio sólido, la automatización deja de verse como un gasto para entenderse como una póliza de seguro contra la ineficiencia. Como bien recalca el equipo de Industriando, la clave del éxito no está en vender robots o sensores, sino en vender una operación más resiliente y predecible. Por ello, dominar el Business Case para la Automatización de Almacenes es la competencia definitiva para el profesional de la logística moderna.
El Cambio de Paradigma: Del CAPEX al Valor Estratégico
Para presentar un proyecto ante la dirección financiera en 2026, debemos entender que el CFO ya no solo busca el ahorro de costos directo. En un mundo post-globalización, la agilidad y la capacidad de respuesta son activos financieros. El Business Case para la Automatización de Almacenes debe comenzar estableciendo el «Costo de la Inacción».
¿Qué sucede si no automatizamos? El costo de la inacción incluye la pérdida de participación de mercado a causa de tiempos de entrega lentos y el incremento constante en los costos laborales. Presentar este escenario negativo es vital porque establece el marco de urgencia necesario para la inversión.
Cuantificación de los «Hard Savings» (Ahorros Directos)
Estos son los números que Finanzas ama ver porque son fáciles de auditar. En el contexto de IA e IoT, los ahorros directos se dividen en tres categorías principales:
1. Optimización de la Fuerza Laboral
No se trata necesariamente de despedir personal, sino de reasignarlo a tareas de mayor valor mientras la IA gestiona el slotting y los AGVs realizan los traslados.
- Reducción de horas extra: La IA predice picos de demanda, permitiendo una planificación de turnos exacta.
- Disminución de la rotación: Al eliminar tareas físicas extenuantes, el costo de reclutamiento y capacitación disminuye.
2. Eliminación de Errores y Logística Inversa
El costo de un error en el picking es masivo: incluye el flete de regreso, el tiempo de re-procesamiento y el daño a la marca. Los sistemas de visión artificial y sensores IoT reducen la tasa de error a niveles cercanos al 0.01%.
3. Eficiencia Energética y Espacio
Los almacenes inteligentes pueden operar en entornos de «luces apagadas» (lights-out warehousing), reduciendo drásticamente el consumo eléctrico. Además, la IA optimiza la densidad de almacenamiento, permitiendo postergar inversiones en nuevas naves industriales.
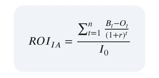
Medición del Retorno de Inversión (ROI) y Valor Presente Neto (VPN)
Un Business Case para la Automatización de Almacenes que no incluya fórmulas financieras está incompleto. En 2026, el CFO esperará ver el cálculo del ROI ajustado al riesgo.
La fórmula básica del ROI es conocida, pero para proyectos de IA, debemos considerar la curva de aprendizaje del algoritmo:

Donde:
- Bt: Beneficios obtenidos en el año t (incluyendo ahorros por IA).
- Ot: Costos operativos y de mantenimiento del sistema.
- r: Tasa de descuento (WACC de la empresa).
- I0: Inversión inicial (CAPEX).
Es importante mencionar que en los proyectos de IA, los beneficios tienden a ser marginalmente crecientes en los primeros años a causa de que el sistema «aprende» y se vuelve más eficiente con el tiempo. Sin embargo, es crucial ser conservador en las proyecciones iniciales para mantener la credibilidad ante el comité de inversiones.
Los «Soft Savings» y el Valor Oculto del IoT
Aquí es donde muchos casos de negocio fallan por no ser lo suficientemente específicos. Los ahorros «blandos» son difíciles de cuantificar, pero hoy en día son fundamentales para el éxito del proyecto.
1. Disponibilidad de Datos para la Toma de Decisiones
El IoT convierte cada palé en un punto de datos. Esto permite un inventario en tiempo real que reduce el capital de trabajo inmovilizado. Finanzas valorará mucho la mejora en el ciclo de conversión de efectivo (Cash Conversion Cycle).
2. Resiliencia y Escalabilidad
Un almacén automatizado puede escalar sus operaciones durante la temporada alta sin necesidad de contratar y capacitar a cientos de trabajadores temporales en pocas semanas. Esta elasticidad tiene un valor financiero incalculable durante las disrupciones de la cadena de suministro.
Mitigación de Riesgos: Lo que el CFO Temerá
Para que el Business Case para la Automatización de Almacenes sea aceptado «a la primera», usted debe anticiparse a las objeciones.
- Obsolescencia Tecnológica: Explique cómo el hardware es modular y el software es actualizable (SaaS).
- Ciberseguridad: Detalle los protocolos de protección de datos para el IoT. Si el CFO percibe que un hacker puede detener la planta, el proyecto será rechazado.
- Tiempo de Implementación: Presente un plan de implementación por fases. Esto es mejor porque permite obtener «victorias tempranas» (Quick Wins) que validan la inversión mientras se avanza hacia la automatización total.
Estructura de la Presentación Ejecutiva
Al momento de la verdad, siga este orden para su presentación:
- Resumen Ejecutivo: El impacto en el EBITDA de la compañía en los próximos 5 años.
- El Problema Operativo: Cuantificación de las pérdidas actuales por ineficiencia.
- La Solución Propuesta: Descripción breve de la tecnología (IA/IoT).
- Análisis Financiero: ROI, VPN, Periodo de Recuperación (Payback Period).
- Alineación Estratégica: Cómo esto apoya los objetivos de sostenibilidad (ESG) y crecimiento de la empresa.
Sin embargo, recuerde que la dirección financiera valorará más su honestidad sobre los desafíos que su entusiasmo sobre la tecnología. Sea realista con los plazos y los recursos necesarios.
Conclusión: La Tecnología como Inversión Financiera
La automatización de almacenes ha dejado de ser una cuestión de «mejora de procesos» para convertirse en una decisión de ingeniería financiera. El éxito de un Business Case para la Automatización de Almacenes radica en la capacidad del líder logístico para demostrar que el flujo de caja futuro será más robusto, predecible y eficiente gracias a la tecnología.
En conclusión, presentar un ROI sólido es el puente que une la ingeniería con las finanzas. Al utilizar datos precisos, metodologías de cálculo estandarizadas y una narrativa de mitigación de riesgos, el departamento de logística se posiciona como un centro de generación de valor. La IA y el IoT son las herramientas, pero el argumento financiero es el motor que permitirá que esas herramientas lleguen al piso de remate. Al final del día, la dirección financiera no busca comprar robots, busca comprar rentabilidad y competitividad a largo plazo en un mercado que no espera a los rezagados.






